Поделиться: Комплекс витаминов и минералов Daily Max производится компанией Maxler. В добавке содержится ряд
Энергетики Сергей Сидорук 23.03.2019 нет комментариев 1 Состав и разновидности спортивных энергетиков в бодибилдинге
глютаминовая кислота в бодибилдинге инструкция
Лекарственное средство глутаминовая кислота используется в медицине, как препарат, улучшающий обмен веществ в головном
Данабол — торговое название метандиенона, самого популярного орального стероида. Производством занимается SC Balkan Pharmaceuticals
Автор: Тимко Илья — владыка всея сайта и фитнес-тренер | подробнее >> Род. 1984
Статья предоставлена магазином фармакологии Anabolik Farma Дата: 2019-02-27 Просмотры: 3 177 Оценка: 5.0 Медали
Ноотропы для улучшения памяти и работы мозга
Лецитин Главный орган нервной системы – головной мозг – на треть состоит из фосфолипида
Спортивное питание для женщин: что нужно знать о протеине
На волне всеобщего увлечения спортом, фитнесом и стройностью, женщины стали намного активнее следить за
Особенности выращивания стручкового гороха
О стручковом горохе Горох – травянистое растение из семейства бобовых. Его плоды – стручки,
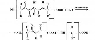
Белковые гидролизаты Белковые гидролизаты — это продукты расщепления белков, используемые для парэнтерального питания. Они
Для любых предложений по сайту: swimkit@cp9.ru
Для любых предложений по сайту: swimkit@cp9.ru
Для любых предложений по сайту: swimkit@cp9.ru